9 releases (2 stable)
| 1.1.0 | Jun 16, 2025 |
|---|---|
| 1.0.0 | Oct 16, 2023 |
| 0.6.0 | Oct 11, 2023 |
| 0.5.0 | May 29, 2021 |
| 0.1.0 | Jul 19, 2020 |
#2842 in Command line utilities
424 downloads per month
77KB
2K
SLoC
runtasktic
Runtasktic is a fantastic command-line task management tool for execution of regular long sequential or parallel tasks.
There are often tasks that we repeat several times in predefined orders. Some of these tasks can take time and we would like to be notified when it ends. This is why this project exists.
Describe your tasks in a YAML file, execute all of them with runtasktic in foreground or background. Configure the notification system, and be notified at the end of each task or when they are all finished. Onlyt Slack is supported right now, need more ? Submit a Feature Request or Pull Request.
When should I need runtasktic ?
- when you have a redundant long running task list
- when you need a notification after a long task completion
- when you need an alternative to nohup
- when you need an alternative to crontab
How to install runtasktic ?
You can install runtasktic via command line or by downloading the prebuild version on github. ⚠️ the project uses libc, the prebuilt version will work only on OS using the same libc version as GitHub Action at the build time.
mkdir ~/bin
curl -sSL https://github.com/Joxit/runtasktic/releases/download/$(curl -sSL https://api.github.com/repos/Joxit/runtasktic/releases/latest | jq -r '.tag_name')/runtasktic-linux-x86_64 > ~/bin/runtasktic
chmod +x ~/bin/runtasktic
If you are a rust user, you can use cargo to install runtasktic.
cargo install runtasktic
If you already installed runtasktic, you can updated it with commandline
runtasktic update
CLI
Command-line task management tool for execution of regular long sequential or parallel tasks.
Usage: runtasktic <COMMAND>
Commands:
run Run all tasks from your configuration in background or foreground
dot Export the configuration to a graph (needs graphviz/dot)
exec Execute a single command with notification in background or foreground
completion Generate completion script for your shell
update Self update of the binary
help Print this message or the help of the given subcommand(s)
Options:
-h, --help Print help
-V, --version Print version
Run: all tasks of a configuration file
Run all tasks from your configuration in background or foreground.
Set the notification, messages, output files, concurency, working directory and many more options in your configuration.
Usage: runtasktic run [OPTIONS] [CONFIG]...
Arguments:
[CONFIG]...
Configurations path (YAML)
Options:
-s, --start <STARTS>
Override the starting task if the job had already been started before. When using many configuration files, start states must be in the first configuration file. Can be many task ids with comma separated values
-b, --background
Run the task in background
--cron <CRON>
Schedule your tasks using cron expression
-h, --help
Print help (see a summary with '-h')
Exec: Simple command, just like nohup with notification
Execute a single command with notification in background or foreground.
Inherit the notification from a configuration file and set your default one in your home: `~/.runtasktic.yml` or `~/.runtasktic.yaml`.
Usage: runtasktic exec [OPTIONS] [COMMAND]...
Arguments:
[COMMAND]...
Command to execute
Options:
-c, --config <CONFIG>
Configuration path (YAML). Will use config file located `~/.runtasktic.yml` or `~/.runtasktic.yaml` by default. If you want no config file execusion, use `--config -`
-t, --task <TASK>
Run a single task from the configuration file
-b, --background
Exec the command in background
--cron <CRON>
Schedule your tasks using cron expression
-h, --help
Print help (see a summary with '-h')
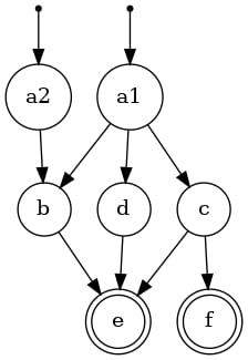
Dot: Create a graph using graphviz of your configuration file
Export the configuration to a graph (needs graphviz/dot)
Usage: runtasktic dot <CONFIG> <IMAGE>
Arguments:
<CONFIG> Path of the configuration file to visualize
<IMAGE> Path for the image. `dot` command is required
Options:
-h, --help Print help
Example taken from tests/resources/concurrency.yml of graph generated by dot.

Completion: Generate completion script for your shell
Generate completion script for your shell
Usage: runtasktic completion <COMMAND>
Commands:
bash Generates a .bash completion file for the Bourne Again SHell (BASH). Save the output in `/etc/bash_completion.d/runtasktic` or `~/.local/share/bash-completion/completions/runtasktic`
fish Generates a .fish completion file for the Friendly Interactive SHell (fish)
zsh Generates a completion file for the Z SHell (ZSH)
elvish Generates a completion file for Elvish
help Print this message or the help of the given subcommand(s)
Options:
-h, --help Print help
Update: Update the binary
Self update of the binary
Usage: runtasktic update
Options:
-h, --help Print help
Configuration
tasks:
a: # The id of the task
commands: # Commands to execute, they must exist with a 0 exit code
- echo Begin a
- sleep 0.5
- echo End a
on_failure: exit # `continue` or `exit` when the tasks ends with a non 0 exit code
b:
commands:
- echo Begin b
- sleep 0.25
- echo End b
depends_on: [a] # This task will be executed after a.
notification:
messages:
task_end: Task {task.id} ended with status code {task.status_code} # Availables templates are {task.id}, {task.short_cmd}, {task.full_cmd}, {task.status_code}, {hostname}, {env.*} for environment variables
all_task_end: All tasks ended. Got {resume.success} success and {resume.failures} failure. # Availables templates are {resulme.success}, {resume.failures}, {hostname}, {env.*} for environment variables
task_failed: Tasks ended prematurely. Got {resume.success} success and {resume.failures} failure. Contains one critical failure. # Availables templates are {resulme.success}, {resume.failures}, {hostname}, {env.*} for environment variables. Triggered when `on_failure: exit` is used.
when: always # `always`, `task-end`, `end` or `never` when should I send notification
slack: # send notification to slack
url: https://hooks.slack.com/services/XXXXX/XXXXX/XXXXX # The slack server url
channel: '#channel' # channel to send message
emoji: ':rocket:' # emoji to use (optional)
username: runtasktic # the username to use, default is runtasktic.
when: always # `always`, `task-end`, `end` or `never` when should I send notification
print:
output: stderr # print notification on `stdout`, `stedrr`, `none` or `/custom/path`
when: always # `always`, `task-end`, `end` or `never` when should I send notification
email:
from:
name: Sender Name # Sender's name, default is empty
address: sender@example.com # Sender's email
to:
- name: Receiver Name # Receiver's name, default is empty
address: receiver@example.com # Receiver's email
subject: 'Runtasktik: task ended' # Default email's subject
smtp:
hostname: smtp.example.com # SMTP hostname
port: 587 # SMTP port, default 587
username: sender@example.com # SMTP username, default is Sender's email
secret: secret-password # SMTP password
tls: true # Use TLS connexion, default is true
when: always # `always`, `task-end`, `end` or `never` when should I send notification
concurrency: 2 # how many task can run simultaneously
working_dir: /custom/directory # Where is the workind directory, default is where your are using runtasktic
stdout: none # `none`, `/custom/path` where should I save standard logs
stderr: /var/log/runtasktic.err # `none`, `/custom/path` where should I save error logs
on_failure: continue # `continue` or `exit` default behaviour when a task fail, default is `continue`
Override configuration
You can override some of your configuration with environment variables. These variables start with RUNTASKTIK_*, all dots are replaced by underscores and everything is uppercase.
Available ones are:
RUNTASKTIK_NOTIFICATION_SLACK_URLRUNTASKTIK_NOTIFICATION_SLACK_CHANNELRUNTASKTIK_NOTIFICATION_SLACK_USERNAMERUNTASKTIK_NOTIFICATION_EMAIL_SMTP_HOSTNAMERUNTASKTIK_NOTIFICATION_EMAIL_SMTP_USERNAMERUNTASKTIK_NOTIFICATION_EMAIL_SMTP_SECRET
Configuration examples
Dependencies
~19–35MB
~547K SLoC